SL Paper 3
Benzene is sometimes represented as containing three alternate double and single bonds (Fig.1) and sometimes represented as a hexagon with a circle in the middle (Fig.2).

Describe two different types of physical evidence which show that benzene does not contain three double bonds.
Explain how the reaction of benzene with bromine provides chemical evidence that benzene does not contain three double bonds.
Markscheme
the C–C bond lengths are all the same;
IR absorption of C–C bonds in benzene is different to that of both C–C single bonds and C=C double bonds;
chemical shift of protons in benzene is different to that of protons in alkenes;
only one isomer exists for 1,2-disubstituted benzene compounds;
substitution rather than addition occurs / OWTTE;
Examiners report
Many candidates scored marks by describing the physical evidence in part (a) and the chemical evidence in part (b), which shows that benzene does not contain three double bonds.
Many candidates scored marks by describing the physical evidence in part (a) and the chemical evidence in part (b), which shows that benzene does not contain three double bonds.
(a) Describe the structure of benzene, C6H6.
(b) State two pieces of evidence that support this description.
Markscheme
(a) hexagonal / ring of six carbon atoms (each with one hydrogen);
planar;
all carbon-carbon bond lengths equivalent / all carbon-carbon bond lengths intermediate between single and double bonds / carbon-carbon bond order of 1.5;
all C–C–C bond angles 120°;
Allow sp2 (hybridization for C’s).
delocalization / resonance;
Allow [2 max] for regular hexagon for M1 and M3.
Award [1 max] for drawing a correct representation of benzene indicating delocalization, but do not award mark for drawing simply a Kekulé structure alone.
If any of these points are stated in (b) award marks in (a).
(b) enthalpy change of hydrogenation not equal to three times enthalpy change of hydrogenation of cyclohexene;
electron density map (of benzene) showing equal electron density/all carbon-carbon bond lengths equivalent / OWTTE;
Allow diffraction pattern or contour map for electron density map.
only one isomer exists for 1,2-disubstituted benzene compounds / only three disubstituted benzene compounds (rather than four);
undergoes (electrophilic) substitution reactions / does not undergo addition reactions / does not decolorize bromine water;
Examiners report
In (a) describing the structure of benzene was well known by many candidates, but the evidence required in (b) to support this description was not well answered by about half of the candidates and chemical language was used imprecisely.
Hydrolysis of aliphatic and aromatic halides occurs under different conditions.
State an equation, using structural formulas, to show the reaction of 1-chloro-2-(chloromethyl) benzene with excess sodium hydroxide at room temperature.
Markscheme

correct formulas of the reactants and the inorganic product;
correct formula of the organic product;
Examiners report
The difference in the ease with which aliphatic and aromatic halides hydrolyse was poorly understood.
The structure of benzene originally described by August Kekulé is shown below.

Explain, giving two different pieces of evidence, why this is not a valid structure for the bonding in benzene.
Markscheme
all (C–C) bond lengths equal / C–C bond lengths intermediate between C–C and C=C;
benzene normally undergoes substitution not addition;
thermochemically more stable than predicted / produces less heat when hydrogenated/combusted than predicted;
Examiners report
This part was generally well answered by many candidates.
Following the initial discovery of benzene by Michael Faraday in 1825, it took many years before the structure was determined.
Describe the structure of benzene.
State one piece of chemical evidence proving benzene does not contain alternate single and double bonds.
Markscheme
planar and six-membered/hexagonal ring;
Accept suitable diagram showing either ring structure with circle representing delocalization or a Kekulé-type structure.
Allow flat for planar.
all carbon-carbon bond lengths equal/0.140 nm / all carbon-carbon bond lengths between single/0.154 nm and double/0.134 nm / all carbon-carbon bonds have same strength;
all bond angles 120° /equivalent;
Allow “all carbons sp2 (hybridized)”.
delocalization of electrons / OWTTE;
Allow “p orbital/\(\pi \) electrons extend over all carbon atoms”.
benzene does not (readily) undergo addition reactions / benzene more likely to undergo substitution reactions / benzene does not decolourize bromine water;
only one isomer of 1,2-disubstituted benzene (eg, 1,2-dibromobenzene) exists (if there were alternate single and double bonds these would be two);
there are three isomers of type \({{\text{C}}_6}{{\text{H}}_4}{{\text{X}}_2}\), so if there were alternate single and double bonds there would be four;
benzene not hydrogenated by hydrogen (and a platinum catalyst) under usual conditions that hydrogenate an alkene;
Do not award this mark if high pressure is stated.
benzene not oxidized by potassium manganate(VII)/potassium permanganate/\({\text{KMn}}{{\text{O}}_4}\);
Allow other suitable named oxidizing agent.
Accept appropriate thermochemical evidence.
Examiners report
Although a straightforward question, most candidates were only able to score two out of the three possible marks in describing the structure of benzene.
Well answered but some candidates gave physical instead of chemical evidence failing to gain the mark. The most popular answer was the tendency to undergo substitution reactions.
Analgesics are used to relieve pain in the body. Aspirin and paracetamol (acetaminophen) are both mild analgesics.
The structures of the strong analgesics morphine and heroin (diamorphine) can be found in Table 20 of the Data Book
Compare how mild and strong analgesics relieve pain in the body.
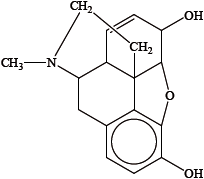
Identify the amine functional group in the morphine molecule below by drawing a ring around it.

State the name of the functional group found in heroin but not in morphine.
State one advantage and one disadvantage of using morphine as a strong analgesic.
Markscheme
mild analgesics function by intercepting the pain stimulus at the source / interfere with the production of substances that cause pain/prostaglandins;
strong analgesics work by bonding to receptor sites in the brain / prevent the transmission of pain impulses without depressing the central nervous system;

any circle around the nitrogen atom / the nitrogen atom and its three neighboring atoms;
ester;
Advantage: antidiarrheal/constipation (in treatment of diarrhea) / reduces coughing;
Disadvantage: addiction / tolerance / risk of overdose;
Examiners report
Most candidates were able to distinguish between the ways mild analgesics and strong analgesics relieve pain in part (b).
A substantial number of candidates failed to identify the tertiary amine in the structure of morphine. Candidates were inaccurate in drawing a circle around the amine group in part (c). Either just the nitrogen atom or nitrogen atom with its three neighbouring atoms should have been circled.
A large number of candidates confused the ester with an ether or carbonyl group as the functional group found in heroin but not in morphine.
Most candidates recognized the disadvantage of using morphine but they had extreme difficulty in stating a specific advantage for using morphine as a strong analgesic.
The cumene process is used for the production of both propanone and phenol. The overall reaction is shown in the equation below.

This process is important in the polymer industry. Propanone can be converted into methyl methacrylate, the monomer used to make Perspex®, and phenol is used in phenol-methanal resins, which are important thermosetting plastics.
State and explain how the presence of a halogen substituent might affect the acidity of carboxylic acids.
Propanone could also be formed from propene by reaction with steam over an acidic catalyst, followed by oxidation of the product.
The reaction of propene with water can yield two possible products. Explain, in terms of the stability of the intermediate carbocations, why one is formed in much greater quantities than the other.
Markscheme
halogens make them more acidic;
halogens are electron withdrawing;
Accept halogens (can be) electronegative.
reduces charge on/stabilizes anion formed / weakens O–H bond / makes it easier to lose \({{\text{H}}^ + }\) ion;
Accept decreases pKa.
Accept causes anion to be weaker base.
one product involves a primary carbocation and other a secondary carbocation;
secondary carbocation is more stable (than the primary carbocation, and hence this produces the major product);
alkyl groups reduce charge on carbon atom (through an inductive effect);
Positive inductive effect of alkyl groups alone not enough for M3.
Examiners report
(a) (i) was well done by the better candidates only, but most candidates only scored one mark in (ii) and no marks in (iii).
(d) was very poorly answered. Some knew that there was an inductive effect but did not understand what this meant, namely that through the positive inductive effect the alkyl groups reduce the charge on the carbon atom.
Oseltamivir (Tamiflu) and zanamivir (Relenza) are both used as antivirals to help prevent the spread of the flu virus, but are administered by different methods.
Zanamivir must be taken by inhalation, not orally. Deduce what this suggests about the bioavailability of zanamivir if taken orally.
Oseltamivir does not possess the carboxyl group needed for activity until it is chemically changed in the body. Deduce the name of the functional group in oseltamivir which changes into a carboxyl group in the body. Use section 37 of the data booklet.
The synthesis of oseltamivir is dependent on a supply of the precursor shikimic acid, which is available only in low yield from certain plants, notably Chinese star anise. State one alternative green chemistry source of shikimic acid.
Markscheme
«oral bioavailability is» low
OR
drug is broken down/pH too low/unable to be absorbed from gut
OR
only a small proportion of the drug «taken by mouth» reaches the target organ
ethoxycarbonyl/carbonyl attached to oxygen
Accept “ester”.
Any one of:
fermentation
OR
microbial production
genetically engineered bacteria/E.coli
sweetgum «seeds/leaves/bark»
OR
pine/fir/spruce tree «needles»
OR
Ginkgo biloba
Accept other specific examples of more plentiful plant sources.
Examiners report
Compound X has the molecular formula \({{\text{C}}_{\text{3}}}{{\text{H}}_{\text{6}}}{{\text{O}}_{\text{3}}}\) and is found in human perspiration.
Y is an isomer of X, which contains the same functional groups.
Its infrared (IR) spectrum is represented below.

Deduce the bonds responsible for the absorptions labelled I and II.
I:
II:
The \(^{\text{1}}{\text{H}}\,{\text{NMR}}\) spectrum recorded showed four peaks with the following chemical shift values (in ppm):

The integration trace for A:B:C:D was found to be 1:1:1:3.
Deduce what information can be obtained about the hydrogen atoms responsible for peak D at 1.2 ppm from the integration trace in the \(^{\text{1}}{\text{H}}\,{\text{NMR}}\) spectrum of X.
Deduce the fragments in the mass spectrum which correspond to the following m/z values.
m/z = 45:
m/z = 17:
m/z = 15:
Deduce the structural formula of X.
(i) Deduce the structural formula of Y.
(ii) Predict one difference between the \(^{\text{1}}{\text{H}}\,{\text{NMR}}\) spectrum of Y and X.
(i) Like X, 3-methylbutanoic acid is also a source of body odour. Deduce the m/z value for the molecular ion peak on the mass spectrum of this compound.
(ii) Deduce the number of different chemical environments of the hydrogen atoms in the \(^{\text{1}}{\text{H}}\,{\text{NMR}}\) spectrum of 3-methylbutanoic acid.
Markscheme
I: O–H and II: C=O;
Do not allow CO for C=O.
Allow OH for O–H.
three hydrogens in same (chemical) environment / \({\text{C}}{{\text{H}}_{\text{3}}}\)/methyl (group);
Award [2] for all three correct, [1] for any two correct.
m/z = 45:
\({\text{COO}}{{\text{H}}^ + }/{\text{C}}{{\text{O}}_2}{{\text{H}}^ + }/{{\text{C}}_2}{{\text{H}}_5}{{\text{O}}^ + }\);
m/z = 17:
\({\text{O}}{{\text{H}}^ - }\);
m/z = 15:
\({\text{CH}}_3^ + \);
Penalize missing + once only.
\({\text{C}}{{\text{H}}_{\text{3}}}{\text{CH(OH)COOH}}/{\text{C}}{{\text{H}}_{\text{3}}}{\text{CH(OH)C}}{{\text{O}}_{\text{2}}}{\text{H}}\);
Allow full or condensed structural formula.
(i) \({\text{C}}{{\text{H}}_{\text{2}}}{\text{(OH)C}}{{\text{H}}_{\text{2}}}{\text{COOH}}/{\text{HO(C}}{{\text{H}}_{\text{2}}}{{\text{)}}_{\text{2}}}{\text{C}}{{\text{O}}_{\text{2}}}{\text{H}}\);
Allow full or condensed structural formula.
(ii) different integration trace / integration trace 1:2:2:1 (in Y) / different chemical shift values / OWTTE;
(i) 102;
(ii) 4;
Examiners report
Most candidates scored this mark by identifying the bonds responsible for the absorptions.
About half the candidates were able to analyze the integration trace correctly and deduced that this was a methyl group.
Generally well answered. However, a few candidates are still forgetting to include the positive charge of the fragments of the mass spectrum.
About a third of the candidates were able to deduce the correct structural formula of X based on the evidence presented.
(i) Only few candidates deduced the correct structure for the isomer Y.
(ii) About half the candidates predicted a reasonable difference between the \(^{\text{1}}{\text{H}}\,{\text{NMR}}\) spectra of X and Y.
(i) More than half the candidates were able to deduce the molecular formula from the name and hence calculated the m/z value of the molecular ion peak correctly.
(ii) More than half of the candidates deduced the correct number of chemical environments in the \(^{\text{1}}{\text{H}}\,{\text{NMR}}\) spectrum of 3-methylbutanoic acid.
Ethanol is a depressant that is widely consumed in many societies. When consumed excessively it has a major impact on families and society as a whole. Other depressants such as diazepam (Valium®) may be prescribed by a doctor.
One problem associated with ethanol consumption is an increased risk of traffic accidents. Police in many countries use a breathalyser to test drivers. The breathalyser contains potassium dichromate(VI).
Describe the colour change of potassium dichromate(VI) when it reacts with ethanol.
State with a reason whether chromium in potassium dichromate(VI) is oxidised or reduced by ethanol.
Markscheme
orange to green;
reduced because oxidation number of Cr decreases / Cr gains electrons;
Explanation needed for mark.
Examiners report
Candidates frequently confused oxidation and reduction or failed to provide a reason as to whether the chromium was oxidised or reduced by ethanol. This highlighted, again, the need for candidates to answer all parts of the question.
Fats and oils have some similarities and some differences in their chemical structures.
State two major differences in their structures.
Describe how an oil can be converted into a fat.
Discuss two advantages and two disadvantages of converting oils into fats.
Markscheme
oils contain at least one C=C/carbon to carbon double bond;
oils have fewer carbon atoms in the hydrocarbon chains / OWTTE;
hydrogenation / react with hydrogen (gas);
heat/140−225 °C and metal catalyst/Ni/Zn/Cu/pressure;
Advantages: [2 max]
increases melting points / changes oil to a semi-solid/solid;
decreases rate of oxidation;
increases hardness;
controls feel/plasticity/stiffness;
Disadvantages: [2 max]
the more saturated the less good for the heart / OWTTE;
trans-fatty acids can be formed (through partial hydrogenation);
trans-fatty acids are difficult to metabolize / increase LDL levels / low quality energy source / accumulate in fatty tissue / are difficult to digest/excrete (from the body);
Examiners report
Most candidates compared structural features of fats and oils, but many failed to score as they missed the required specificity of carbon to carbon double bond in (a). A significant number of candidates compared melting points which was not part of the question and very few were able to state the difference in the length of hydrocarbon chains.
Many candidates gave detailed descriptions of the process to score both marks in part (b), but some failed to score the second mark by omitting the need of a catalyst/pressure and/or heat.
Many candidates were able to correctly suggest two advantages but failed to correctly state two disadvantages in part (c). Very often marks were lost as result of poor use of subject specific terms.
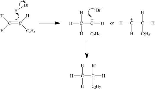
Alkenes can undergo electrophilic addition reactions with bromine and with hydrogen bromide.
Name the product formed when but-2-ene reacts with
Explain how a bromine molecule is able to act as an electrophile.
(i) bromine.
(ii) hydrogen bromide.
When but-1-ene reacts with hydrogen bromide, two possible organic products could be formed but in practice only one organic product is obtained in high yield. Explain the mechanism for this reaction using curly arrows to represent the movement of electron pairs and explain clearly why only one organic product is formed.
Markscheme
as the bromine approaches the alkene an induced dipole is formed / OWTTE;
(i) 2,3-dibromobutane;
(ii) 2-bromobutane;

showing curly arrow from double bond to H (in H–Br) and curly arrow from bond in H–Br to Br;
showing the curly arrow from the lone pair/negative charge on Br– to the secondary carbocation and 2-bromobutane as correct product;
stating that the secondary carbocation will be formed in preference to the primary carbocation;
the two positive/electron releasing inductive effects due to the two R– groups on the secondary carbocation make it more stable;
Examiners report
In part (a) candidates rarely explained the induced dipole in the bromine molecule which allows it to act as an electrophile.
Part (b) was answered more effectively with many candidates correctly naming products formed from but-2-ene, although several candidates omitted ‘di’ from 2,3-dibromobutane and thus lost the mark.
The poor use of curly arrows was again evident in part (c) although some candidates clearly explained why only one organic product is formed when but-1-ene reacts with hydrogen bromide.
Compound P contains a carbonyl group (C=O) and has the molecular formula C3H6O.
Pentan-2-one has the following mass spectrum.

Draw the two possible structures of compound P.
Explain why the infrared spectra of the structures in (a) are very similar.
Explain how the mass spectra of the structures in (a) can be used to distinguish between them.
Deduce the formulas of the species with the m/z values at 86, 71 and 43.
\(m{\text{/}}z = 86\):
\(m{\text{/}}z = 71\):
\(m{\text{/}}z = 43\):
Suggest a reason for the peak at m/z = 43 having an exceptionally high relative abundance.
Markscheme
\({\text{C}}{{\text{H}}_{\text{3}}}{\text{COC}}{{\text{H}}_{\text{3}}}\) and \({\text{C}}{{\text{H}}_{\text{3}}}{\text{C}}{{\text{H}}_{\text{2}}}{\text{CHO}}\);
Accept full or condensed structural formulas.
Ignore incorrect names as long as structures are correct.
same/similar (types of) bonds / both contain the carbonyl group/C=O;
Do not accept same functional group.
(mass spectrum of) \({\text{C}}{{\text{H}}_{\text{3}}}{\text{C}}{{\text{H}}_{\text{2}}}{\text{CHO}}\) contains peak at \(m{\text{/}}z = 29\) / \({\text{C}}{{\text{H}}_{\text{3}}}{\text{COC}}{{\text{H}}_{\text{3}}}\) does not contain peak at \(m{\text{/}}z = 29\);
(corresponding to) loss of \({{\text{C}}_{\text{2}}}{{\text{H}}_{\text{5}}}\) / \({M_{\text{r}}} - {{\text{C}}_{\text{2}}}{{\text{H}}_{\text{5}}}\) / \({\text{CH}}{{\text{O}}^ + }\) / loss of CHO / \({M_{\text{r}}} - {\text{CHO}}\) / \({{\text{C}}_{\text{2}}}{\text{H}}_{\text{5}}^ + \);
OR
(mass spectrum of) \({\text{C}}{{\text{H}}_{\text{3}}}{\text{C}}{{\text{H}}_{\text{2}}}{\text{CHO}}\) contains a (strong) peak at \(m{\text{/}}z = 57\) / \({\text{C}}{{\text{H}}_{\text{3}}}{\text{COC}}{{\text{H}}_{\text{3}}}\) does not contain a (strong) peak at \(m{\text{/}}z = 57\);
(corresponding to) loss of H / \({M_{\text{r}}} - {\text{H}}\) / \({\text{C}}{{\text{H}}_{\text{3}}}{\text{C}}{{\text{H}}_{\text{2}}}{\text{C}}{{\text{O}}^ + }\);
Penalize missing + once only in A1.
m/z = 86: \({\text{C}}{{\text{H}}_{\text{3}}}{\text{C}}{{\text{H}}_{\text{2}}}{\text{C}}{{\text{H}}_{\text{2}}}{\text{COCH}}_{\text{3}}^ + {\text{/}}{{\text{C}}_{\text{3}}}{{\text{H}}_{\text{7}}}{\text{COCH}}_{\text{3}}^ + {\text{/}}{{\text{C}}_{\text{5}}}{{\text{H}}_{{\text{10}}}}{{\text{O}}^ + }\);
m/z = 71: \({\text{C}}{{\text{H}}_{\text{3}}}{\text{C}}{{\text{H}}_{\text{2}}}{\text{C}}{{\text{H}}_{\text{2}}}{\text{C}}{{\text{O}}^ + }{\text{/}}{{\text{C}}_{\text{3}}}{{\text{H}}_{\text{7}}}{\text{C}}{{\text{O}}^ + }{\text{/}}{{\text{C}}_{\text{4}}}{{\text{H}}_{\text{7}}}{{\text{O}}^ + }\);
Accept CH3COCH2CH2+
m/z = 43: \({\text{C}}{{\text{H}}_{\text{3}}}{\text{C}}{{\text{H}}_{\text{2}}}{\text{CH}}_{\text{2}}^ + {\text{ / C}}{{\text{H}}_{\text{3}}}{\text{C}}{{\text{O}}^ + }{\text{ / }}{{\text{C}}_{\text{3}}}{\text{H}}_{\text{7}}^ + {\text{ / }}{{\text{C}}_{\text{2}}}{{\text{H}}_{\text{3}}}{{\text{O}}^ + }\);
Penalize missing + once only in A1.
\({\text{C}}{{\text{H}}_{\text{3}}}{\text{C}}{{\text{H}}_{\text{2}}}{\text{CH}}_{\text{2}}^ + \) and \({\text{C}}{{\text{H}}_{\text{3}}}{\text{C}}{{\text{O}}^ + }\)/two species have this mass/m/z;
Do not penalize missing + in this part.
Examiners report
The majority of candidates was able to identify the two structures in (a) and recognized that IR spectroscopy could not distinguish them easily because they contained the same types of bonds in (b).
The majority of candidates was able to identify the two structures in (a) and recognized that IR spectroscopy could not distinguish them easily because they contained the same types of bonds in (b).
Answers to part (c) were often general and did not meet the requirements. Only few candidates predicted the peaks in the mass spectrum that could be used to distinguish the two compounds.
Part (d)(i) and (ii) were answered well by about half the candidates. However, some candidates are still forgetting to include a positive charge for fragments detected in the mass spectrometer.
Part (d)(i) and (ii) were answered well by about half the candidates. However, some candidates are still forgetting to include a positive charge for fragments detected in the mass spectrometer.
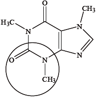
Caffeine and nicotine are two common stimulants.
State the name of the functional group circled on the structure of caffeine.

Markscheme
amide;
Examiners report
Most candidates correctly identified the functional group.
Consider the following lipid and carbohydrate.
In order to determine the number of carbon-carbon double bonds in a molecule of linoleic acid, 1.24 g of the lipid were dissolved in 10.0 cm3 of non-polar solvent.
The solution was titrated with a 0.300 mol dm–3 solution of iodine, I2.
Determine the empirical formula of linoleic acid.
The empirical formula of fructose is CH2O. Suggest why linoleic acid releases more energy per gram than fructose.
State the type of reaction occurring during the titration.
Calculate the volume of iodine solution used to reach the end-point.
Outline the importance of linoleic acid for human health.
Markscheme
C9H16O
ratio of oxygen to carbon in linoleic acid lower
OR
linoleic acid less oxidized
OR
linoleic acid more reduced
Accept “«average» oxidation state of carbon in linoleic acid is lower”.
«electrophilic» addition/AE
OR
oxidation–reduction/redox
«\(\frac{{1.24\,{\text{g}}}}{{280.50\,{\text{g}}\,{\text{mo}}{{\text{l}}^{ - 1}}}}\) =» 0.00442 «mol»
0.00884 mol of C=C
OR
ratio of linoleic acid : iodine = 1:2
«volume of I2 solution = \(\frac{{0.00884\,{\text{mol}}}}{{0.300\,{\text{mol}}\,{\text{d}}{{\text{m}}^{ - 3}}}}\) =» 0.0295 «dm3» / 29.5 «cm3»
Award [3] for correct final answer.
Any two of:
increases «ratio of» HDL «to LDL» cholesterol
OR
decreases LDL cholesterol «level»
removes plaque from/unblocks arteries
OR
decreases risk of heart disease
decreases risk of stroke «in the brain»
Accept "essential fatty acid".
Do not accept “bad cholesterol” for “LDL cholesterol” OR “good cholesterol” for “HDL cholesterol”.
Do not accept general answers such as “source of energy” OR “forms triglycerides” OR “regulates permeability of cell membranes” etc.
[Max 2 Marks]
Examiners report
Amino acids are usually identified by their common names. Use section 33 of the data booklet.
State the IUPAC name for leucine.
A mixture of amino acids is separated by gel electrophoresis at pH 6.0. The amino acids are then stained with ninhydrin.
(i) On the diagram below draw the relative positions of the following amino acids at the end of the process: Val, Asp, Lys and Thr.
(ii) Suggest why glycine and isoleucine separate slightly at pH 6.5.
Determine the number of different tripeptides that can be made from twenty different amino acids.
The fibrous protein keratin has a secondary structure with a helical arrangement.
(i) State the type of interaction responsible for holding the protein in this arrangement.
(ii) Identify the functional groups responsible for these interactions.
Markscheme
2-amino-4-methylpentanoic acid
Accept 4-methyl-2-aminopentanoic acid.
i
Lys on cathode side AND Asp on anode side
Val at origin AND Thr on anode side but closer to origin than Asp
Val and Thr need not overlap.
Accept any (reasonable) size and demarcation of position so long as position relative to origin is correct.
Accept crosses for spots.
Award [1 max] for any two correct.
Award [1 max] if net direction of spots is reversed.
Award [1 max] if the four points are in the correct order but not in a straight line.
ii
different sizes/molar masses/chain lengths «so move with different speeds»
«203 =» 8000
i
hydrogen bonds
ii
carboxamide/amide/amido
OR
C=O AND N–H
Accept peptide.
Examiners report
Vegetable oils, such as that shown, require conversion to biodiesel for use in current internal combustion engines.
State two reagents required to convert vegetable oil to biodiesel.
Deduce the formula of the biodiesel formed when the vegetable oil shown is reacted with the reagents in (a).
Explain, in terms of the molecular structure, the critical difference in properties that makes biodiesel a more suitable liquid fuel than vegetable oil.
Determine the specific energy, in kJ\(\,\)g−1, and energy density, in kJ\(\,\)cm−3, of a particular biodiesel using the following data and section 1 of the data booklet.
Density = 0.850 g\(\,\)cm−3; Molar mass = 299 g\(\,\)mol−1;
Enthalpy of combustion = 12.0 MJ\(\,\)mol−1.
Markscheme
methanol
OR
ethanol
strong acid
OR
strong base
Accept “alcohol”.
Accept any specific strong acid or strong base other than HNO3/nitric acid.
[3 marks]
CH3(CH2)16COOCH3 / CH3OCO(CH2)16CH3
OR
CH3(CH2)16COOC2H5 / C2H5OCO(CH2)16CH3
Product must correspond to alcohol chosen in (a), but award mark for either structure if neither given for (a).
[1 mark]
lower viscosity
weaker intermolecular/dispersion/London/van der Waals’ forces
OR
smaller/shorter molecules
Accept “lower molecular mass/Mr” or “lower number of electrons”.
Accept converse arguments.
[2 marks]
Specific energy: «\( = \frac{{12\,000{\text{ kJ}}\,{\text{mo}}{{\text{l}}^{ - 1}}}}{{299{\text{ g}}\,{\text{mo}}{{\text{l}}^{ - 1}}}}\)» = 40.1 «kJ g−1»
Energy density: «= 40.1 kJ\(\,\)g−1 x 0.850 g\(\,\)cm−3» = 34.1 «kJ\(\,\)cm−3»
Award [1] if both are in terms of a unit other than kJ (such as J or MJ).
[2 marks]
Examiners report
Methadone, a synthetic opioid, binds to opioid receptors in the brain.
Compare and contrast the functional groups present in methadone and diamorphine (heroin), giving their names. Use section 37 of the data booklet.
Methadone is sometimes used to help reduce withdrawal symptoms in the treatment of heroin addiction. Outline one withdrawal symptom that an addict may experience.
Markscheme
Similarity:
both contain «at least one» benzene/aromatic ring
OR
both contain amino «group»
Difference:
diamorphine has one benzene/aromatic ring AND methadone has two phenyl «groups»
OR
diamorphine has one vinylene/ethenylene/1,2-ethenediyl «group» AND methadone has no vinylene/ethenylene/1,2-ethenediyl «group»
OR
diamorphine has one ether «group» AND methadone has no ether «group»
OR
diamorphine has «two» ethanoate/acetate «groups» AND methadone has no ethanoate/acetate «groups»
Accept “both contain carbonyl «groups»”.
Accept “amine” for “amino «group»”.
Accept “phenyl” for “benzene ring” in M1 and M2 although there are no phenyl groups in diamorphine, as the benzene ring in this compound is a part of a polycyclic structure.
Do not accept “arene” or “benzene” alone in M1 and M2.
Accept “alkenyl/alkene” for “vinylene/ethenylene/1,2-ethenediyl” and “ester” for “ethanoate/acetate”.
Accept “methadone has a ketone/carbonyl AND diamorphine does not/has an ester/ethanoate/acetate”.
Accept “diamorphine is a heterocycle/heterocyclic compound AND methadone is not a heterocycle/heterocyclic compound”.
feeling depressed/anxious/irritable
OR
craving for opioids/heroin
OR
experience fever/cold sweats/nausea/vomiting/insomnia/muscle pain/cramps/diarrhea/increased rate of respiration/increased heartbeat/lacrimation
Accept listed symptoms (eg, depression, anxiety, fever etc.).
Some of the most common symptoms are listed here – there may be other valid ones. Accept “headaches”.
Examiners report
Dehydroepiandrosterone (DHEA) is a substance banned under the World Anti-Doping Code.
Steroid abuse has certain health hazards, some general, some specific to males and some specific to females. Identify one health hazard in each category.
General Hazard:
Male Hazard:
Female Hazard:
(i) State the name of the functional group circled in the DHEA molecule shown below.
(ii) Identify the characteristic of this structure that classifies it as a steroid.
The production of banned steroids has ethical implications. Suggest a reason why steroid research might be supported.
Markscheme
General hazards:
acne
OR
weight gain
OR
liver/kidney damage
OR
stunted growth
OR
disruption of puberty
OR
increased aggressiveness
OR
increased risk of heart disease/atherosclerosis/heart attacks/strokes√
General hazards:
Accept heart problems.
Male hazards:
feminization/breast «tissue» development
OR
shrinking of the testes/testicles
OR
reduction in sperm production
OR
impotence
Male hazards:
Accept baldness.
Female hazards:
decreased breast development
OR
masculinisation
OR
infertility/abnormal menstrual cycles
OR
birth defects/altered fetus development
(i)
alkenyl/ethanylylidene
(ii)
four-ring «steroidal» backbone
OR
fused ring structure
OR
three 6-membered rings AND a 5-membered ring
Award [1] for a sketch of the steroidal backbone.
medical uses of steroids «under physician supervision»
OR
detection of banned substances can be improved
Accept any specific medical use.
Accept answers such as “their effects «either positive or negative» are better understood”.
Examiners report
Organic molecules can be visualized using three-dimensional models built from kits such as that pictured below.

Describe two differences, other than the number of atoms, between the models of ethane and ethene constructed from the kit shown.
The above ball and stick model is a substituted pyridine molecule (made of carbon, hydrogen, nitrogen, bromine and chlorine atoms). All atoms are shown and represented according to their relative atomic size.
Label each ball in the diagram, excluding hydrogens, as a carbon, C, nitrogen, N, bromine, Br, or chlorine, Cl.
Suggest one advantage of using a computer generated molecular model compared to a ball and stick 3-D model.
Pyridine, like benzene, is an aromatic compound.
Outline what is meant by an aromatic compound.
Markscheme
Any two of:
Ethene: «carbon–carbon» double bond AND Ethane: «carbon–carbon» single bond
ethene has a shorter carbon–carbon bond «than ethane»
Ethene: planar/two-dimensional/2-D AND Ethane: tetrahedral «carbons»/three-dimensional/3-D
OR
Ethene: each carbon surrounded by three electron domains AND Ethane: each carbon surrounded by four electron domains
OR
different molecular geometries/shapes
rotation about carbon–carbon inhibited/blocked in ethene AND not in ethane
«H–C–C/H–C–H» bond angles different
OR
Ethene: «bond angles approximately» 120° AND Ethane: 109.5/109°
Do not accept “different number of atoms/hydrogens/bonds” etc.
Accept “Ethene: unsaturated AND Ethane: saturated” OR “Ethene: has a double bond AND Ethane: does not” OR “Ethene: two flexible bonds between carbon atoms AND Ethane: one”.
Accept any reasonable physical description of the two different molecular models based on a variety of kits for M1.
For ethene, accept any bond angle in the range 117–122°.
Award [2] if any two of the concepts listed are shown in a correctly labelled or annotated diagram.
Award [1 max] for two correct statements for either molecule but with no comparison given to the other.
Award [1 max] for suitable unlabeled diagrams of both compounds.
[2 marks]
6 carbon atoms labelled in correct positions
both nitrogen atoms labelled in correct positions
bromine AND chlorine atoms labelled in correct positions

[3 marks]
accurate bond angles/lengths can be measured
OR
«using mathematical functions» can calculate expected shapes based on energy minimizations
OR
better visualization of possible bond rotations/conformation/modes of vibration
OR
can visualize macromolecules/proteins/DNA
OR
hydrogen bonding «networks» can be generated/allows intermolecular forces «of attraction» to be simulated
OR
more variety of visualization representations/can observe space filling
OR
can produce an electron density map/electrostatic potential map
OR
once model is generated file can be saved for future use/computer models can be shared globally by scientists
OR
helps design molecules of biological significance/assists in drug design «using libraries»
OR
can predict molecular interactions with solvents/can predict physical properties/can predict spectral data/can examine crystal structures
OR
«often» easier to construct/modify «model»
Accept “precise” for “accurate”.
Accept “computer generated structural representation is normally what is expected in order to be published «in a scientific journal»”.
Accept “easier to see different sizes of atoms/atomic radii”.
[1 mark]
bonds within ring have resonance
OR
contains delocalized «conjugated pi» electrons in ring
There must be reference to a ring or cyclic structure.
Accept “alternating single and double bonds in a ring”.
Accept “ring which shows resonance/delocalization”.
Accept “follows Hückel/4n +2 rule”.
Do not accept “contains one or more benzene rings”.
[1 mark]
Examiners report
In a class experiment, students were asked to determine the value of x in the formula of a hydrated salt, BaCl2・xH2O. They followed these instructions:
- Measure the mass of an empty crucible and lid.
- Add approximately 2 g sample of hydrated barium chloride to the crucible and record the mass.
- Heat the crucible using a Bunsen burner for five minutes, holding the lid at an angle so gas can escape.
- After cooling, reweigh the crucible, lid and contents.
- Repeat steps 3 and 4.
Their results in three trials were as follows:
State and explain the further work students need to carry out in trial 2 before they can process the results alongside trial 1.
In trial 3, the students noticed that after heating, the crucible had turned black on the outside. Suggest what may have caused this, and how this might affect the calculated value for x in the hydrated salt.
List two assumptions made in this experiment.
Markscheme
repeat steps 3 and 4
OR
repeat step 5
OR
conduct a third heating
OR
«re»heat AND «re»weigh
water still present
OR
need two consistent readings
OR
heat to constant mass
Accept “ensure even/strong heating” for M1.
Do not accept “cleaning/washing the crucible”.
soot/carbon deposited
OR
incomplete combustion
OR
air hole of Bunsen burner closed/not fully open
Accept “using a yellow «Bunsen burner» flame” for M1.
«value of x» lower
Only award M2 if M1 correct.
all mass loss is due to water loss
all the water «of crystallization» is lost
crucible does not absorb/lose water
crystal/BaCl2 does not decompose/hydrolyse/oxidize/react with oxygen/air «when heated»
Accept “no loss of crystals/BaCl2 occurs”, “no impurities in the «weighed hydrated» salt”, “reaction goes to completion”, “heat was consistent/strong”, “crystal/BaCl2 does not absorb water during cooling”, “balance has been calibrated” or “crucible was clean at the start”.
Do not accept ”heat loss to surroundings” or “no carbon deposited on crucible”.
Reference to defects in apparatus not accepted.
Do not penalize if BaCl2.xH2O is used for BaCl2.
Examiners report
Monosaccharides can combine to form disaccharides and polysaccharides.
Identify the functional groups which are present in only one structure of glucose.
Sucrose is a disaccharide formed from \(\alpha \)-glucose and β-fructose.
Deduce the structural formula of sucrose.
Starch is a constituent of many plastics. Suggest one reason for including starch in plastics.
Suggest one of the challenges scientists face when scaling up the synthesis of a new compound.
Markscheme
Only in straight chain form:
carbonyl
OR
aldehyde
Only in ring structure:
hemiacetal
Accept functional group abbreviations (eg, CHO etc.).
Accept “ether”.
[2 marks]
correct link between the two monosaccharides
Correct 1,4 beta link AND all bonds on the 2 carbons in the link required for mark.
Ignore any errors in the rest of the structure.
Penalize extra atoms on carbons in link.
[1 mark]
plastic «more» biodegradable/degrades into nontoxic products
OR
plastic can be produced using green technology/renewable resource
OR
reduces fossil fuel use/petrochemicals
OR
easily plasticized
OR
used to form thermoplasts
[1 mark]
minimize «negative» impact on environment
OR
minimize waste produced
OR
consider atom economy
OR
efficiency of synthetic process
OR
problems of side reactions/lower yields
OR
control temperature «inside large reactors»
OR
availability of starting/raw materials
OR
minimize energy costs
OR
value for money/cost effectiveness/cost of production
[1 mark]
Examiners report
Infrared (IR) spectroscopy is often used for the identification of polymers, such as PETE, for recycling.
LDPE and high density polyethene (HDPE) have very similar IR spectra even though they have rather different structures and physical properties.
Below are the IR spectra of two plastics (A and B); one is PETE, the other is low density polyethene (LDPE).
Deduce, giving your reasons, the identity and resin identification code (RIC) of A and B using sections 26 and 30 of the data booklet.
Describe the difference in their structures.
Explain why the difference in their structures affects their melting points.
Markscheme
A RIC: 1 AND B RIC: 4
ALTERNATIVE 1:
«only» PETE contains carbonyl/C=O/ester/COO groups
carbonyl groups absorb at 1700–1750 «cm–1»
ALTERNATIVE 2:
LDPE contains more C–H bonds «than PETE»
C–H bonds absorb at 2850–3090 «cm–1»
For either, accept specific frequencies in these ranges (eg 1735 «cm–1» or 2900 «cm–1»).
[3 marks]
HDPE less branched
OR
LDPE more branched
Accept “no branching in HDPE AND branching in LDPE”.
[1 mark]
HDPE «polymer» chains/molecules can pack together more closely «than LDPE chains»
OR
HDPE «polymer» chains/molecules have a higher contact surface area «than LDPE chains»
stronger intermolecular/dispersion/London/van der Waals’ forces in HDPE AND higher melting point
Accept converse arguments.
[2 marks]
Examiners report
Carbohydrates are energy-rich molecules which can be synthesized in some plant cells from inorganic compounds.
State the raw materials and source of energy used in the process described above.
The structures of two molecules, X and Y, are shown below.
(i) Justify why both these molecules are carbohydrates.
(ii) Distinguish between these molecules in terms of their functional groups.
Amylose is an unbranched polysaccharide composed of repeating units of glucose.
(i) Draw the structure of the repeating unit of amylose. Use section 34 of the data booklet.
(ii) Amylose is a major component of starch. Corn starch can be used to make replacements for plastics derived from oil, especially for packaging. Discuss one potential advantage and one disadvantage of this use of starch.
Markscheme
CO2 AND H2O AND sun
Accept names.
Accept “sunlight/light/photons” instead of “sun”.
i
both have formula Cx(H2O)y
OR
both contain several OH/hydroxyl «groups» AND a C=O/carbonyl «group»
Accept “both have the formula CnH2nOn /empirical formula CH2O” but do not accept “both have same molecular formula/have formula C3H6O3”.
Accept “aldehyde or ketone” for “carbonyl”.
ii
Accept “alkyl” for “R”.
Accept “X: aldose/aldehyde AND Y: ketose/ketone”.
Accept “CO” for “C=O”.
i
continuation bonds AND open O on either but not both ends
Brackets are not necessary for the mark.
Do not accept β-isomer.
Mark may be awarded if a polymer is shown but with the repeating unit clearly identified.
3-D representation is not required.
ii
Advantage:
Any one of:
biodegradable / break down naturally/by bacteria
Do not accept just “decompose easily”.
compostable
does not contribute to land-fill
renewable/sustainable resource
starch grains swell AND help break up plastic
lower greenhouse gas emissions
uses less fossil fuels than traditional plastics
less energy needed for production
Disadvantage:
Any one of:
land use «affects biodiversity/loss of habitat»
growing corn for plastics instead of food
«starch» breakdown can increase acidity of soil/compost
«starch» breakdown can produce methane «especially when buried»
sensitive to moisture/bacteria/acidic foods
«bioplastics sometimes» degrade quickly/before end of use
cannot be reused
poor mechanical strength
eutrophication
increased use of fertilizers/pesticides/phosphorus/nitrogen «has negative environmental effects»
Ignore any reference to cost.
Accept “prone to site explosions/fires” or “low heat resistance” for disadvantage.
Only award [1 max] if the same example is used for the advantage and disadvantage.